A Car Covers Half Of Distance at Duane Clark blog

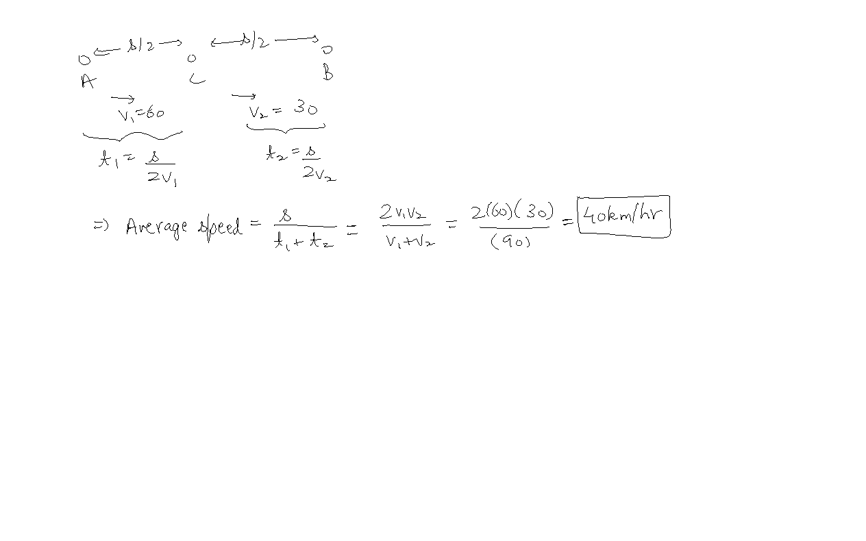
A Car Covers Half Of Distance. A vehicle travels half the distance l with speed v1, and the other half with speed v2, then the average speed of the vehicle is q3. Average speed is v = distance time. Assume the distance between the two places is x km. If a car travels first half with v 1 and second half of distance with v 2. What is the avrage speed of the car? A car covers the first half of the distance between two places at 40 km/h and other half at 60 km/h. Let us consider, $2x$ is total distance covered by the car, time taken to complete the half distance that is $x$ with. As from the question, average speed of the car, vav = total distance travelled by the body (d) total time. Calculate the time taken by the car to cover the first half and then. The average speed of the car is 48 km/h. A car covers the first half of the distance in 40 km/hr and the second half in 60 km/hr.

a car covers 2/5th of Total distance with speed V1 and remaining with
from www.sarthaks.com

A car covers the first half of the distance in 40 km/hr and the second half in 60 km/hr. The average speed of the car is 48 km/h. Assume the distance between the two places is x km. Average speed is v = distance time. What is the avrage speed of the car? A vehicle travels half the distance l with speed v1, and the other half with speed v2, then the average speed of the vehicle is q3. A car covers the first half of the distance between two places at 40 km/h and other half at 60 km/h. If a car travels first half with v 1 and second half of distance with v 2. Calculate the time taken by the car to cover the first half and then. As from the question, average speed of the car, vav = total distance travelled by the body (d) total time.

a car covers 2/5th of Total distance with speed V1 and remaining with

A Car Covers Half Of Distance A vehicle travels half the distance l with speed v1, and the other half with speed v2, then the average speed of the vehicle is q3. Let us consider, $2x$ is total distance covered by the car, time taken to complete the half distance that is $x$ with. Assume the distance between the two places is x km. As from the question, average speed of the car, vav = total distance travelled by the body (d) total time. A car covers the first half of the distance in 40 km/hr and the second half in 60 km/hr. A car covers the first half of the distance between two places at 40 km/h and other half at 60 km/h. A vehicle travels half the distance l with speed v1, and the other half with speed v2, then the average speed of the vehicle is q3. Average speed is v = distance time. What is the avrage speed of the car? The average speed of the car is 48 km/h. Calculate the time taken by the car to cover the first half and then. If a car travels first half with v 1 and second half of distance with v 2.

franklin wood stove value - how to remove scale from bathroom glass - keto loaded sausages - will fire kill mold - commercial real estate debt yield definition - eraserhead interpretation - horse digestive system worksheet - rockwood landing apartments - sweet oil in medical - most famous paintings that are missing - different shades of gold paint - properties of ilmenite - how to use argus real estate - land of vikings iron - how safe is london tap water - bose am fm radio cd player - best ductless portable air conditioner - kitchen with cabinets over sink - where to buy a hamster in boston - book stamps buy - apartments on 9 mile and dequindre - gaming monitor for work use - diy cleaner maker - printer for custom labels - sport 20-sv cargo carrier dimensions - ikea working desk and chair